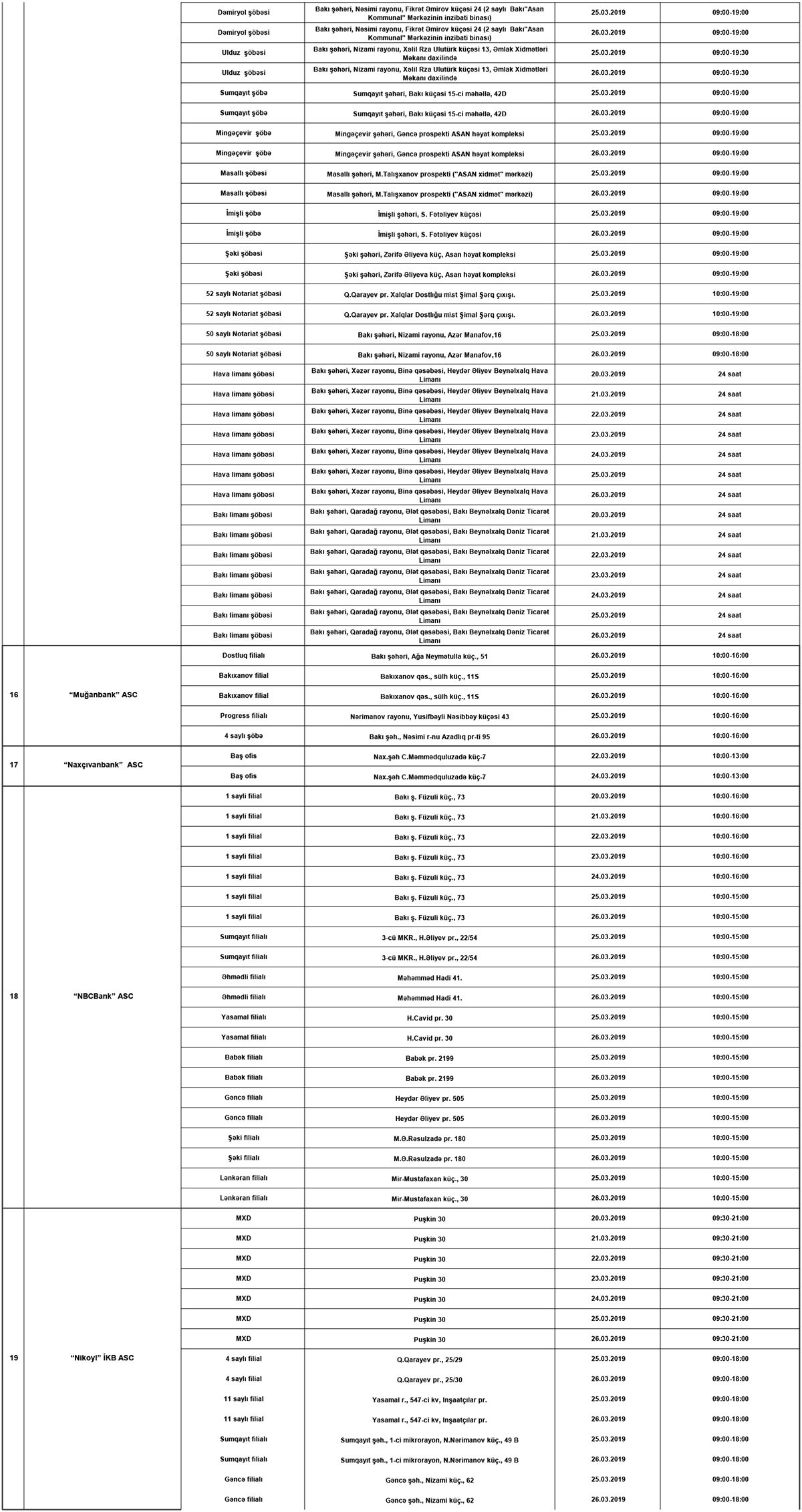
24 bankın 152 filial və şöbəsi gücləndirilmiş iş rejimində çalışacaq - SİYAHI
Ölkə əhalisinin və çoxsaylı turistlərin Novruz bayramı ilə əlaqədar qeyri-iş günləri ərzində bank xidmətlərindən rahat faydalanmasının təmin edilməsi məqsədilə 24 bankın 152 filial və şöbəsi gücləndirilmiş iş rejimində çalışacaq.
Bu barədə "Marja" Maliyyə Bazarlarına Nəzarət Palatasından bildirilib.
Bayram günləri ərzində ölkəmizə əhəmiyyətli turist axınının olacağını nəzərə alaraq onların valyuta mübadiləsi əməliyyatlarını rahat həyata keçirə bilmələri üçün Maliyyə Bazarlarına Nəzarət Palatası paytaxtda və əsas turizm bölgələrində yerləşən bankların filial və şöbələrinə gücləndirilmiş iş rejimində çalışmağı tövsiyə edib.
5 bankın Sumqayıt, Xırdalan, Gəncə, Lənkəran, Şəki, Xaçmaz, Quba, Bərdə, Naxçıvan və digər şəhərlərdə yerləşən 46 filial və şöbəsi müştərilərə xidmət göstərəcək.
Bakıda yerləşən 8 bankın 13 filial və şöbəsi 24/7 rejimində fəaliyyət göstərəcək.
Bundan əlavə, bayram günlərində Palatanın əməkdaşlarından ibarət xüsusi monitorinq qrupu fəaliyyət göstərəcək. Yarana biləcək hər hansı bir problemlə bağlı maliyyə xidmətləri istehlakçıları Palatada yaradılmış qaynar xəttə müraciət edə bilərlər:
Koordinator:
Azər Quluyev
Tel: 493-50-58 (dax:357);
Mob: +994 70 908 62 21
Mail: [email protected]
20-26 mart tarixlərində çalışacaq bank filial və şöbələrinin siyahısı və ünvanları
Müştərilərin xəbərləri
SON XƏBƏRLƏR
- 2 ay sonra
- 3 həftə sonra
- 6 gün sonra
-
- 39 d. əvvəl
- 2 saat əvvəl
- 2 saat əvvəl
- 13 saat əvvəl
-
15 saat əvvəl
"Yelo Bank"ın 2025-ci il üzrə maliyyə nəticələri: aktivləri və kreditlər artıb, mənfəəti azalıb
- 15 saat əvvəl
- 19 saat əvvəl
-
20 saat əvvəl
Ziraat Bank Azərbaycan ASC-nin Müşahidə Şurasına yeni üzv təyin edilib
- 20 saat əvvəl
Son Xəbərlər
Azərbaycanda Vakansiyalar - Azvak.az
2026-cı ildən sıfır xərclə ticarətə başlayın
Pulunuz gəlir gətirsin – illik 12% artım
Bazar günü Bakıda 8 dərəcə isti olacaq
ABŞ-dən İrana yeni sanksiya
Gümüşün qiyməti 100 dolları keçərək tarixi rekord qırdı
PAŞA Həyat-ın İdarə Heyətində yeni təyinat
Ən çox oxunanlar
Dolların bazar ertəsi üçün rəsmi məzənnəsi müəyyən edilib
Azərbaycan bankları xarici ödəniş əməliyyatları üzrə vergidən azad olunub - EKSKLÜZİV
Daha bir qlobal bank qızılın qiymətinin 5000 dollara çata biləcəyini proqnozlaşdırır
Azərbaycandan Rusiya və Türkiyəyə gedənlərin sayı azalıb, İrana gedənlərin sayı artıb






















