Logistika sisteminin effektivliyinin qiymətləndirilməsi
Müəllif: İlkin Zeynallı, Abşeron Logistika Mərkəzi, baş kommersiya inzibatçısı
Xülasə: Müasir logistika sistemində yüksək səmərə ilə həyata keçirilməli olan logistik əməliyyatların qiymətləndirilməsinin rolu və əhəmiyyəti artır və bununla da logistika sisteminin fəaliyyətinin keyfiyyət meyarının davamlı yüksəlişi təmin edilir. Qlobal iqtisadi böhran səbəbindən müəssisələrin yerləşdiyi mühitin qeyri-müəyyənliyi və qeyri-sabitliyi şəraitində əksər Dünya şirkətləri logistika əməliyyatlarının effektivliyini qiymətləndirmək üçün yüksək effektiv metodlara ehtiyac duyurlar.
Məqalə logistika sistemlərinin effektivliyinin qiymətləndirilməsi üçün istifadə olunan alətlərdən, xərclərdən istifadəni müzakirə edir. Nəzərdən keçirilən alətlər dəsti idarəetməyə logistik yanaşmanın bütün meyarlarına cavab verir.
Giriş. Hal-hazırda logistika sisteminin səmərəliliyinin ölçülməsi üçün orada baş verən proseslərin dinamikasını, eləcə də orada baş verən prosesləri müəyyən edən dəyişənlərin bütün müxtəlifliyini nəzərə alan universal metodologiya mövcud deyil.
Bununla belə, bütövlükdə logistika sisteminin effektivliyini hələ də müəyyən edə biləcəyimiz bir universal parametr var. Bu parametr təchizat zəncirində logistika xərcləri və ya material axını təşviq edildikdə əldə edilən mənfəətdir.
Hər bir logistik əməliyyat qaçılmaz olaraq xərclərlə müşayiət olunur. Hər bir logistik əməliyyatın keçməsi logistika sisteminin xüsusi elementləri tərəfindən çəkilən xərclərlə müşayiət olunur.
Ümumi halda, logistika sisteminin effektivliyinin qiymətləndirilməsi təchizat zəncirində yaranan mənfəət və xərclərin müqayisəsi yolu ilə həyata keçirilə bilər. Təbii ki, fəaliyyətinin idarə edilməsinin logistika prinsiplərini həyata keçirən istənilən biznes təşkilatı, ilk növbədə, logistik yanaşmanı tətbiq edərkən təşkilatın fəaliyyətinin səmərəliliyinin necə artacağını anlamağa çalışır.
Hər hansı bir logistika sisteminin ən ümumi, əsas effektivlik göstəricilərinə aşağıdakılar daxildir:
1) Ümumi logistik xərclər;
2) Logistik xidmətin keyfiyyət səviyyəsi;
3) Biznes sisteminin ümumi fəaliyyəti;
4) Sistemdə logistik proseslərin ümumi müddəti;
5) Logistik əməliyyatların və proseslərin keyfiyyəti (logistika xidmətinin səviyyəsi).
Müqayisəli qiymətləndirmə. Məhz bu göstəricilər logistika şirkətlərinin və logistika sistemlərinin müqayisəli qiymətləndirilməsində istifadə olunur. Bu göstəricilər asanlıqla ölçülə bilən olmalıdır, müasir logistika şirkətlərinin operativ, taktiki və strateji planlaşdırılmasının əsasını təşkil edir. Üstəlik, onların üzərində logistika sisteminin səmərəliliyinin monitorinqi sistemi, eləcə də şirkətin idarəetmə uçotu sistemi qurulur [7].
Ümumi logistik xərclər - bu, logistika sisteminin fəaliyyəti ilə bağlı istisnasız olaraq bütün proseslərin və əməliyyatların idarə edilməsi və həyata keçirilməsi zamanı yaranan xərclərin cəmidir. Ümumi logistika məsrəflərini aşağıdakı qruplara bölmək yolu ilə təsnifləndirmək olar:
1) Əməliyyat logistika xərcləri və ya logistik əməliyyatların icrası xərcləri. Çox vaxt bu məsrəflərə əməliyyat xərcləri də deyilir. Əməliyyat xərclərini daxili (loqistika əməliyyatları şirkətin öz resursları hesabına yerinə yetirildikdə) və xarici (üçüncü tərəfin logistika provayderləri cəlb edildikdə) aydın şəkildə ayırmaq vacibdir.
2) Logistika sisteminin idarə edilməsi ilə bağlı xərclər və ya inzibati xərclər;
3) Mümkün logistik risklərin reallaşdırılması ilə bağlı xərclər.
Logistikanın funksional sahələri üzrə logistika xərclərinin təsnifatı haqqında danışırıqsa, ümumi qəbul edilmiş təsnifat aşağıdakı kimidir:
1) Nəqliyyat və ya göndərmə xərcləri;
2) Saxlama xərcləri;
3) Malların emalı və emalı ilə bağlı xərclər;
4) Ehtiyatların idarə olunması xərcləri;
5) Sifarişin idarə olunması xərcləri;
6) Logistik informasiya sistemlərinin, məsələn, inteqrasiya olunmuş anbar avtomatlaşdırma sistemlərinin istismarı ilə bağlı xərclər;
7) Ayrı bir qrup olaraq, xammal və hazır məhsul ehtiyatlarının formalaşması və saxlanması ilə bağlı xərcləri (və bəlkə də mənfəəti) ayırmaq lazımdır;
8) Logistika risklərinin təzahüründən və ya logistik xidmətlərin keyfiyyətinin qeyri-kafi olmasından mümkün zərərlər [3].
Xarici mənbələrə görə, logistika xərclərinin strukturunda ən əhəmiyyətli paylar inventarların idarə edilməsi ilə bağlı xərclərə (20%-dən 40%-ə qədər) və nəqliyyat xərclərinə (15%-dən 35%-ə qədər) aiddir. Bununla belə, son illərdə logistika məlumat sistemlərinin tətbiqi və istismarı, logistika sistemlərinin idarə edilməsi və logistika autsorsinqi kimi logistik xərclərin növləri ilə bağlı şirkətlərin xərcləri davamlı olaraq artır.
Eyni zamanda, yerli təcrübədə logistika sisteminin səmərəliliyini qiymətləndirmək üçün logistika xərclərinin göstəricilərindən istifadə edilərkən, ilk növbədə, mövcud uçot sistemində faktiki logistik xərclərin aydın şəkildə fərqləndirilməsinin mümkünsüzlüyü ilə əlaqədar bəzi problemlər yaranır; ikincisi, logistik risklərin qiymətləndirilməsi və iqtisadi hesablanması üsullarının olmaması ilə; üçüncüsü, iqtisadi və maliyyə məlumatlarının məxfiliyi ilə.
Logistik xidmətin keyfiyyəti. Logistik xidmətin keyfiyyətini nəzərdən keçirək. Əslində, şirkətin logistik fəaliyyəti mahiyyət etbarı ilə müxtəlif mürəkkəblik dərəcələrində logistik xidmətlərin göstərilməsidir. Eyni zamanda, logistika sistemlərində logistik vasitəçilərin bütün sinfi, yəni logistik xidmətlərin göstərilməsi üzrə ixtisaslaşmış şirkətlər mövcuddur. Bunlar, məsələn, nəqliyyat və ekspeditor şirkətləri, anbarlar, paylama mərkəzləri və yük terminalları, sığorta şirkətləri və ya gömrük brokerləri ola bilər.
Logistika xidməti bir sıra logistik xidmətlərin göstərilməsi vasitəsilə həyata keçirildiyi üçün logistik xidmətin keyfiyyətini qiymətləndirmək çətinləşir, çünki xidmət məhsuldan aşağıdakı xüsusiyyətlərlə fərqlənir:
1) Xidmət qeyri-maddidir, onun maddi forması yoxdur, onu formalaşdırmaq və qiymətləndirmək çətindir;
2) Xidmət yalnız istehlakda deyil, onun formalaşmasında tez-tez iştirak edən konkret istehlakçıya yönəldilmişdir;
3) Xidmət alınmazdan əvvəl sınaqdan keçirilə bilməz;
4) Xidmətin saxlama xüsusiyyəti yoxdur, "burada və indi" görünür.
Beləliklə, logistik xidmətin keyfiyyəti bilavasitə onun göstərilməsi zamanı qiymətləndirilir, lakin logistika sistemini layihələndirərkən ona yüksək keyfiyyətli və ya ən azı potensial istehlakçı üçün məqbul olan logistika xidmətlərini daxil etmək lazımdır. Beləliklə, gələcək logistika sisteminin istehlakçısı baxımından logistik xidmətin keyfiyyət meyarlarının müəyyən edilməsində ciddi problem yaranır. Eyni zamanda, başa düşmək lazımdır ki, göstərilən logistika xidmətlərinin keyfiyyətini qiymətləndirərkən istehlakçı həmişə xidmət parametrlərinin faktiki dəyərlərini gözlədiyi parametrlərlə müqayisə edir. İstehlakçının gözləntiləri xidmətin faktiki parametrləri ilə üst-üstə düşürsə, o, onun keyfiyyətini məqbul hesab edir [9].
Beləliklə, logistika xidmətinin keyfiyyəti logistika xidmətləri istehlakçılarının gözləntiləri ilə bu xidmətlərin göstərilməsinin faktiki səviyyəsi arasında uyğunluq dərəcəsi kimi müəyyən edilə bilər ki, bu da keyfiyyət meyarları toplusunun qavranılması ilə ifadə edilir. Bu kontekstdə keyfiyyət meyarları arasında aşağıdakıları vurğulamaq lazımdır:
1) Xidmətin göstərilməsi üçün fiziki mühit;
2) Xidmətlərin göstərilməsinin etibarlılığı, həm onun "vaxtında" həyata keçirilməsi imkanı, həm də sistemdə bütün logistik axınların idarə edilməsinin etibarlılığı;
3) Logistika xidmətinin yerinə yetirilməsinin təminatı kimi məsuliyyət;
4) Başdan sona xidmətin yerinə yetirilməsi kimi tamlıq;
5) Logistik risklərin minimuma endirilməsi kimi təhlükəsizlik;
6) Logistika xidmətinin icraçısı tərəfindən müştəri davranışının olması [2].
Sistemdə logistik proseslərin müddəti. Sistemdə logistik proseslərin müddəti onun effektivliyinin digər mühüm göstəricisidir. Logistika proseslərinin müddəti logistika sistemində sifarişlərin yerinə yetirilməsinin ümumi vaxtı kimi başa düşülməlidir.
Biznes sisteminin (logistika sisteminin) ümumi fəaliyyəti müəyyən bir logistika sistemində vaxt vahidinə görə həyata keçirilən logistika xidmətlərinin həcminin göstəricisi ilə xarakterizə olunur. Bu, məsələn, vaxt vahidi üçün emal edilən sifarişlərin sayı və ya logistika sistemindən keçən məhsul vahidi üçün logistik xərclərin nisbəti ola bilər.
Yuxarıdakıları ümumiləşdirərək iddia etmək olar ki, logistika sisteminin effektivliyini qiymətləndirmək üçün onu logistika xərcləri (yaxud istehlakçı sifarişlərini yerinə yetirmək üçün ayrılmış logistika resursları) arasında effektiv tarazlığa nail olmağa yönəlmiş təşkilati və idarəetmə kompleksi kimi təqdim etmək lazımdır [1]. Bu aspektdə istənilən logistika sistemi effektiv əks əlaqəyə malik sistem kimi şərh edilə bilər (şək. 1).

Şəkil 1. Logistika sistemi effektiv əks əlaqəyə malik bir sistem kimi
Beləliklə, girişlər logistika sisteminin resurslarıdır. Logistika sisteminin çıxışları, yəni onun nəticələri və təqdim etdiyi logistik xidmətlərin keyfiyyəti onların strukturundan, kəmiyyətindən və tərkibindən asılıdır.
Logistika sisteminin effektivliyinin qiymətləndirilməsi prosedurunu rəsmiləşdirmək üçün onun effektivliyinin yuxarıda göstərilən göstəricilərini ümumiləşdirən aşağıdakı xüsusiyyətləri təqdim etmək lazımdır:
1) çatdırılma vaxtının dəqiqliyi;
2) çatdırılma yerinin dəqiqliyi;
3) tədarük olunan məhsulların nomenklaturasının və çeşidinin dəqiqliyi;
4) tədarük olunan məhsulların kəmiyyət göstəricilərinin düzgünlüyünə;
5) tədarük olunan məhsulların keyfiyyət göstəricilərinin düzgünlüyü;
6) qiymətin bazar tələblərinə uyğunluğu [8].
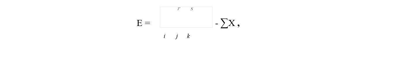
Logistika sisteminin effektivliyinin qiymətləndirilməsini ifadə edən ümumiləşdirici göstərici düsturla ifadə edilə bilər:

burada Qijk k-ci sıranın j-ci funksiyasının i-ci əməliyyatı üçün logistik xidmətlərin həcmidir;
X- logistika xərcləri.
Xüsusi göstəricilərə müraciət etsək, logistika sisteminin səmərəliliyi bərabər olacaqdır (0-dan 1-ə qədər):

burada Qijk k-ci sıranın j-ci funksiyasının i-ci əməliyyatı üçün logistik xidmətlərin həyata keç-irilməsinin effekti;
X- logistika xərcləri.
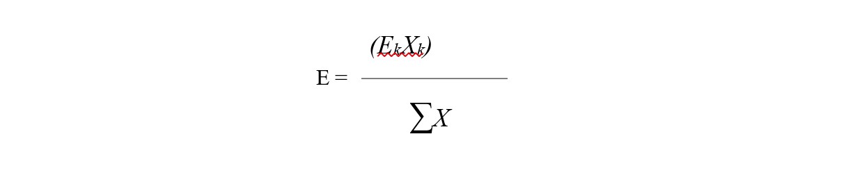
Bu hesablamada istehlakçıların sifarişləri üzrə xidmətin keyfiyyət səviyyəsi nəzərə alınmır. Sifariş xidmətinin keyfiyyət (xidmətə xidmət) baxımından qiymətləndirilməsini logistika sisteminin fəaliyyətinin səmərəliliyinin qiymətləndirilməsi sisteminə daxil etsək, o, aşağıdakı formanı alacaq:

burada Ek- logistika sisteminin k-ci sifarişə xidmətdən səmərəliliyidir;
Zk- k-ci sıranın xidmət keyfiyyətinə görə xərclər [5].
Logistika xidmətinin səviyyəsi logistika sistemlərinin fəaliyyətinin səmərəliliyini artırdığından, istehlakçı sifarişlərinə xidmət üçün müxtəlif variantların hesablanması maksimum səmərəliliyi (effektivliyi) müəyyən etməyə imkan verir.
Beləliklə, logistika sisteminin effektivliyi ehtiyatların mövcudluğu, məhsuldarlıq və fəaliyyətin keyfiyyəti ilə müəyyən edilir və ümumi logistika xərclərinin miqdarı birbaşa arzu olunan səmərəlilik səviyyəsi ilə bağlıdır. Bir qayda olaraq, bu səviyyə nə qədər yüksək olsa, logistikanın ümumi xərcləri bir o qədər çox olur. Müəssisədə effektiv logistika sisteminin yaradılmasının açarı logistika xidmətinin səviyyəsi ilə ümumi xərclərin məbləği arasında tarazlığı saxlamaq bacarığıdır [4].
Logistika zəncirinin son həlqəsi olan istehlakçı nöqteyi-nəzərindən logistika sisteminin effektivliyi onun sifarişinə göstərilən xidmətin keyfiyyət səviyyəsi ilə müəyyən edilir.
Logistika xərcləri müəssisənin idarə edilməsi vasitəsi kimi çıxış edir. Logistika xərclərinin tərkibinin müəyyən edilməsi iqtisadi cəhətdən əsaslandırılmış idarəetmə qərarlarının qəbul edilməsinə kömək edir. Bu cür xərclərin təhlili şirkət rəhbərliyinə istehlakçı sifarişlərinə xidmət göstərmək üçün ən çevik taktikaları seçməyə imkan verə bilər. Logistika xərclərinin azalması, bu əsasda mənfəət səviyyəsinin artması təsərrüfat subyektinin maliyyə imkanlarını artırır [6].
Nəticə. Logistika əməliyyatlarının və biznes proseslərinin effektivliyini qiymətləndirmək üçün ən ümumi, tipik göstəricilərə müəssisənin logistika sisteminin gücünü, məhsuldarlığını, xərclərini xarakterizə edən göstəricilər daxildir.
Logistika iş proseslərinin çox müxtəlif və çox sayda göstəriciləri var, onların ölçülməsi son vəzifə deyil. Ölçmənin özü mühüm məlumatlar verir ki, bunun əsasında müəssisənin qarşısına qoyulan məqsədlər fonunda logistika sisteminin effektivliyi haqqında nəticə çıxarılır. Beləliklə, əgər məsələn, müəssisənin qarşısında qısa müddətdə material axınının sürətini maksimuma çatdırmaq vəzifəsi durursa, o zaman sürət ölçülməli və məhsuldarlıq nəzərə alınmamalıdır; əgər vəzifə xərcləri minimuma endirməkdirsə, onda müxtəlif məsrəf göstəricilərindən istifadə etmək və daha az dərəcədə müəssisənin maddi-texniki təchizatı sisteminin iş yükünü nəzərə almaq lazımdır. Göstəricilərin fərqli prinsipə uyğun istifadəsi (almaq daha asan və ya istifadə etmək daha rahat olan göstəricilərdən istifadə olunur) müştərilərə zəif xidmət göstərməsinə, onların itirilməsinə; qəzalara və müəssisənin infrastrukturunun zədələnməsinə səbəb ola bilər.
ƏDƏBİYYAT
James R. Stock, Douglas M. Lambert, 2005. (Strategic Logistics Managemen)
Bowersox, D. Kloss, 2008. (Logistical Management: The Integrated Supply Chain Process)
Donald Waters, 2003. (Logistics: An Introduction to Supply Chain Management)
4. John Schreibfeder, 2008. (Achieving Effective Inventory Management)
5. А.А.Яшин, М.Л.Ряшко «Логистика. Основы планирования и оценки эффективности логистических систем». Учебное пособие, 2014
6. Степанов В. И. Логистика : учебник / В. И. Степанов. М. : ТК Велби, Проспект, 2006. 488
7. Неруш Ю. М. Логистика : учебник / Ю. М. Неруш. М. : Проспект, 2006. 517 с.
8. Григорьев М. Н. Управление запасами в логистике: ме-тоды, модели, информационные технологии : учеб. пособие / М. Н. Григорьев, А. П. Долгов, С. А. Уваров. СПб. : ИД «Бизнес-пресса», 2009. 368 с.
9. Николайчук В. Е. Заготовительная и производственная ло-гистика / В. Е. Николайчук. СПб. : Питер, 2001. 160 с.
ОЦЕНКА ЭФФЕКТИВНОСТИ ЛОГИСТИЧЕСКОЙ СИСТЕМЫ
Резюме: Роль и значение оценки логистических операций, которая должна осуществляться с высокой эффективностью в современной логистической системе, возрастает, что обеспечивает постоянное повышение критериев качества логистической системы. Из-за неопределенности и нестабильности среды, в которой находятся предприятия в связи с мировым экономическим кризисом, большинству компаний в мире необходимы высокоэффективные методы оценки эффективности логистических операций.
В статье рассматривается использование инструментов и затрат, используемых для оценки эффективности логистических систем. Рассмотренный набор инструментов отвечает всем критериям логистического подхода к управлению.
Ключевые слова: Логистика, эффективность, система, оценка.
EVALUATION OF EFFICIENCY OF LOGISTICS SYSTEM
Rezume: The role and importance of the evaluation of logistics operations, which must be carried out with high efficiency in the modern logistics system, is growing, and thus ensures a continuous increase in the quality criteria of the logistics system. Due to the uncertainty and instability of the environment in which enterprises are located due to the global economic crisis, most companies in the world need highly effective methods to assess the effectiveness of logistics operations.
The article discusses the use of tools and costs used to assess the effectiveness of logistics systems. The set of tools considered meets all the criteria of the logistics approach to management.
Keywords: Logistics, efficiency, system, evaluation
Müştərilərin xəbərləri
SON XƏBƏRLƏR
- 1 ay sonra
-
17 saat sonra
Yalnız yağın ödənişini edin — Filtr və işçilik bizdən hədiyyə!
- 12 saat sonra
-
- 9 saat əvvəl
- 10 saat əvvəl
-
10 saat əvvəl
Tramp, İran üçün ümidverici danışdı, lakin hədəsini yenilədi
- 10 saat əvvəl
-
1 gün əvvəl
“Best Managed Companies Azerbaijan 2026” müsabiqəsinin ikinci mərhələsi başlayıb
-
1 gün əvvəl
Avtomobil Yolları Dövlət Agentliyinin sədri dəyişdi - SƏRƏNCAMLAR
- 1 gün əvvəl
- 1 gün əvvəl
- 1 gün əvvəl
Son Xəbərlər
Azərbaycanda Vakansiyalar - Azvak.az
Yalnız yağın ödənişini edin — Filtr və işçilik bizdən hədiyyə!
Endirimli nağd pul krediti – EXPRESSBANKDA
Fevralın 8-də gözlənilən hava şəraiti
Tramp, İran üçün ümidverici danışdı, lakin hədəsini yenilədi
Avtomobil Yolları Dövlət Agentliyinin sədri dəyişdi - SƏRƏNCAMLAR
Ən çox oxunanlar
Azərbaycan Rusiyaya nota verdi
Çip sektoru 1 trilyon dollara doğru irəliləyir
Dolların bazar ertəsi üçün rəsmi məzənnəsi müəyyən olunub
Azərbaycanda yalnız bir bankın əməliyyat xərcləri azalıb - SİYAHI
Azərbaycan Dəmir Yolları 20 faiz daha çox sərnişin daşıyıb
























