PAŞA Bank işlənmiş avtomobillərini satışa çıxarır - SİYAHI, QİYMƏTLƏR
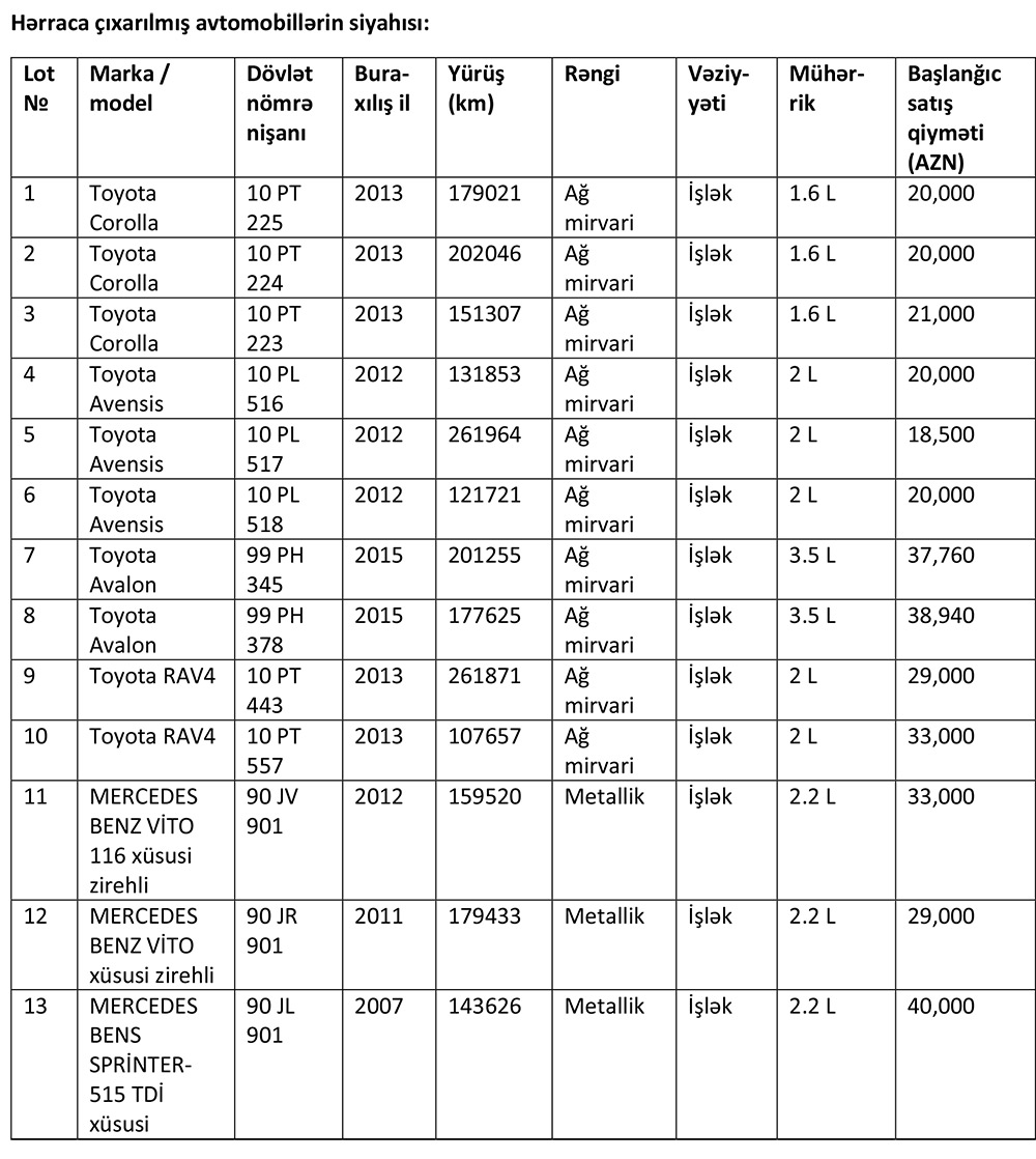
“PAŞA Bank” ASC, balansında olan işlənmiş avtomobilləri hərrac yolu ilə satışa çıxarır.
Marja-nın əldə etdiyi məlumata görə, hərrac üzrə təkliflərin son qəbul tarixi 22 Sentyabr 2021-ci ildir. Hərrac 27 Sentyabr 2021-ci il tarixində keçiriləcəkdir.
Hərrac qapalı keçiriləcək (qapalı zərflərdə daxil olmuş təkliflərin bankın müəyyən etdiyi səlahiyyətli qərarvermə orqanında açılması yolu ilə)
Hərrac üzrə təkliflər Yusif Məmmədəliyev küç., 13 ünvanında yerləşən “PAŞA Bank”ın Baş Ofisinə, Vəliyev Fərhad Əhməd oğlunun adına göndərilməlidir.
Hərrac üzrə təkliflər bağlı zərflərdə, üzərində hərracda iştirakla bağlı qeyd, kim tərəfindən göndərildiyi və Fərhad Vəliyevin adına göndərilməsi əks olunmaqla göndərilməlidir.
Avtomobillər Yusif Məmmədəliyev küç., 16-da yerləşən dayanacaqdadır.
Hərrac üzrə minimal təklif məbləği -Hər lot üzrə müəyyən edilmiş başlanğıc satış qiymətindən aşağı olmamalıdır.
Hərracda iştirak etmək üçün hesaba mədaxil olunacaq behin məbləğ 300 manatdır (İştirakçı qalib gəlmədiyi halda və ya təklifi hərrac keçirilməzdən öncə geri götürdüyü halda beh geri qaytarılır).
Hərracda iştirak etmək üçün gönədirləcək zərflərdə şəxs və ya onun səlahiyyətli nümayəndəsi tərəfindən imzalanmış və iştirak edəcəyi lot nömrəsini qeyd etməklə qiymət təklifi ərizəsi (hüquqi şəxs tərəfindən əlavə olaraq möhürlə təsdiq edilmiş) və ərizəyə aşağıdakı sənədlər əlavə edilir:
Aşağıda göstərilmiş bank hesabına behin köçürüldüyünü təsdiq edən sənəd (qəbzin üzərində şəxsin adı, FİN nömrəsi və Ş.V. nömrəsi əks edilməlidir);
- fiziki şəxslər tərəfindən şəxsiyyəti təsdiq edən sənədin notarial qaydada təsdiq edilmiş surəti;
- hüquqi şəxslər və (və ya) fərdi sahibkarlar tərəfindən vergi ödəyicisinin uçota alınması haqqında şəhadətnamənin surəti;
- şəxslə əlaqə saxlamaq üçün tələb olunan məlumatlar – ünvan və telefon nömrəsi.
- təklif şəxslərin nüməyəndəsi tərəfindən göndərildiyi halda, müvafiq etibarnamələr (hüquqi şəxslər üçün şirkət blankında imza möhürlü, fiziki şəxslər üçün notarial qaydada təsdiq edilmiş formada)
Aşağıdakı hallar müəyyən edildikdə, şəxslər hərracda iştirak etmək üçün buraxılmırlar:
1. hüquqi şəxs yenidən təşkil, ləğv və ya iflas prosesində olduqda;
2. şəxs özü haqqında dəqiq olmayan məlumat təqdim etdikdə;
3. sənədlər sifarişlərin qəbulu müddəti bitdikdən sonra təqdim edildikdə;
4. ərizə səlahiyyəti olmayan şəxs tərəfindən təqdim edildikdə;
5. elanda göstərilən siyahıya uyğun bütün sənədlər təqdim edilmədikdə, yaxud təqdim olunmuş sənədlər müvafiq qaydada tərtib olunmadıqda;
6. təklifin hansı lot üzrə verildiyini müəyyən etmək mümkün olmadıqda və ya təklif qiyməti satış qiymətindən aşağı olduqda.

Hərracın qalibinin müəyyən edilməsi qaydası aşağıdakı kimidir:
Daxil olmuş qapalı zərflərdəki təkliflər Bankın müəyyən etdiyi səlahiyyətli qərarvermə orqanında açılır və hər lot üzrə ən yüksək alış qiymətini vermiş şəxs həmin lot üzrə hərracın qalibi elan olunur. Əgər hər hansı bir lot üzrə 2 və daha çox ərizəçinin qiymət təklifi eyni olarsa hər bir ərizəçiyə yazılı müraciət edilir və daha yüksək qiymət təklifi verilməsi üçün 3 iş günü vaxt müəyyən edilir.
Hərrac nəticəsində qalib gəlmiş şəxsə (şəxslərə) yazılı məlumat verilir və 3 iş günü müddətində alış niyyətini təsdiq etməsi tələb olunur. Qalib gəlmiş şəxs alış niyyətini təsdiq etdikdən sonra 5 iş günü müddətində alqı-satqı həyata keçirilir. Qalib gəlmiş şəxs əmlakı almaqdan imtina etdikdə və ya 3 iş günü müddətində alış niyyətini təsdiq etmədikdə, verdiyi beh geri qaytarılmır və həmin əmlak üzrə qalib növbəti ən yüksək alış təklifi vermiş şəxs olaraq müəyyən edilir.
Məsul şəxs: Fərhad Vəliyev – İnzibatçılıq şöbəsinin rəhbəri
Əlaqə nömrəsi: +994 12 496 51 00
Beh məbləğinin köçürülməsi üçün Bank rekvizitləri:
“PAŞA Bank” Açıq Səhmdar Cəmiyyəti
Kod: 505141
VÖEN: 1700767721
Hesab №: AZ90PAHA45019AZNBL1200000001 (AZN)
SWIFT BIK: PAHAAZ22
Müştərilərin xəbərləri
SON XƏBƏRLƏR
- 1 ay sonra
- 3 həftə sonra
- 5 gün sonra
-
-
4 gün sonra
Yay mövsümü üçün iş: Supermarketlər şəbəkəsi işə qəbul elan etdi
- 16 d. əvvəl
-
23 d. əvvəl
Goldman Sachs: Qlobal neft ehtiyatları rekord sürətlə azalır
- 1 saat əvvəl
-
1 saat əvvəl
Mayın 22-də gözlənilən hava şəraiti - BAKIDA İNTENSİV YAĞIŞ YAĞACAQ
- 2 saat əvvəl
- 2 saat əvvəl
-
3 saat əvvəl
İrana və Gürcüstana gedən Azərbaycan vətəndaşlarının sayı azalıb - 31,4 faiz və 7,1 faiz azalma
-
3 saat əvvəl
Azərbaycana turist axını 10%-dən çox, körfəz ölkələrindən gələnlərin sayı 28 faiz azalıb
Son Xəbərlər
Azvak.az-da yeni iş elanları
55 manatdan bank səhmdarı olmaq fürsəti: SON 23 GÜN
Bank sərfəli şərtlərlə əmanət qəbuluna davam edir
Yapon avtomobili Nissan Magnite - CƏMİ 27 900 MANATA
Nvidia gəlirini 85 faiz, xalis mənfəətini 211 faiz artırıb
İrşadda böyük “Yaşıl Cümə” fürsəti başladı!
İrana və Gürcüstana gedən Azərbaycan vətəndaşlarının sayı azalıb - 31,4 faiz və 7,1 faiz azalma
Ən çox oxunanlar
Azərbaycana turist axını 10%-dən çox, körfəz ölkələrindən gələnlərin sayı 28 faiz azalıb
Kapital Bank dünyaca məşhur “Federated Hermes Limited” şirkəti ilə əməkdaşlığa başladı
ABB səhmdarlarına dividend ödənişi başa çatdı
Dolların 50 Türkiyə lirəsinə yüksələcəyi proqnozu verilib
Rəsmi məzənnələr açıqlandı
Natura meyvə şirələri daha bir sosial layihənin təşkilatçısı oldu






.jpg)
.jpg)






.jpg)






