Depozitlərdə dollarlaşma aşağı düşür
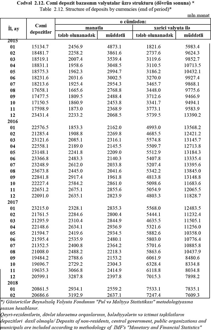
2018-ci ilin Fevral ayının sonuna banklarda cəmi depozitlər 20 milyard 686.6 milyon manat təşkil edib.
"Marja" Mərkəzi Bankın statistikasına istinadən xəbər verir ki, depozitərin 5 milyard 830 milyon manatı və ya 28,2%-i milli valyutada, 14 milyard 856,7 milyon manatı və ya 71,8%-i xarici valyutada olub.
Yanvar ayında bu nisbətlər müvafiq olaraq 26,3% və 73,7% təşkil etmişdi.
Müştərilərin xəbərləri
"Prime Cotton" şirkəti GOTS sertifikatını əldə edərək Azərbaycan pambıq sektorunda yeni mərhələ açır
SON XƏBƏRLƏR
- 1 ay sonra
-
2 gün sonra
Yalnız yağın ödənişini edin — Filtr və işçilik bizdən hədiyyə!
- 2 gün sonra
-
- 1 saat əvvəl
- 1 saat əvvəl
- 1 saat əvvəl
- 6 saat əvvəl
-
6 saat əvvəl
PAŞA Holding-in təşkilatçılığı ilə “LEGIS Hüquq Forum”u uğurla başa çatıb
- 6 saat əvvəl
-
7 saat əvvəl
Azərbaycanda bank müştəri hesablarının sayı 17%-ə yaxın artıb
-
7 saat əvvəl
Dövlət Vergi Xidməti proqnozdan 50 milyon manat daha çox vergi yığıb
-
7 saat əvvəl
Azərbaycanda restoranda robot-ofisiant xidmət göstərməyə başlayıb
Son Xəbərlər
Azərbaycanda Vakansiyalar - Azvak.az
Yalnız yağın ödənişini edin — Filtr və işçilik bizdən hədiyyə!
Endirimli nağd pul krediti – EXPRESSBANKDA
“Volvo” səhmlərində tarixinin ən sərt satışları baş verib
Almaniyadan “Amazon”a 59 milyon avro cərimə
Avropa Mərkəzi Bankı faizlərini dəyişdirmədi
Ən çox oxunanlar
Azərbaycanda bank müştəri hesablarının sayı 17%-ə yaxın artıb
Dövlət Vergi Xidməti proqnozdan 50 milyon manat daha çox vergi yığıb
Azərbaycanda restoranda robot-ofisiant xidmət göstərməyə başlayıb
Dolların sabah üçün rəsmi məzənnəsi müəyyən olunub
"Prime Cotton" şirkəti GOTS sertifikatını əldə edərək Azərbaycan pambıq sektorunda yeni mərhələ açır
Soyuq hava qlobal istiləşməni təkzib etmir





















